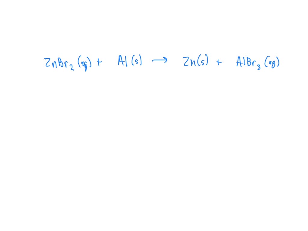
Aqueous Zinc Bromide Reacts With Solid Aluminum .  the balanced chemical equation for the reaction between aqueous zinc bromide and solid aluminum to produce aqueous.   the balanced chemical equation for the reaction between solid aluminium and aqueous zinc bromide to.   the balanced chemical equation for the reaction between solid aluminum and aqueous zinc bromide to. Solid aluminum reacts with aqueous zinc bromide to form aqueous aluminum bromide and solid zinc.  aqueous zinc bromide reacts with solid aluminum to produce aqueous aluminum bromide and solid zinc.  al + znbr2 = zn + albr3 is a single displacement (substitution) reaction where two moles of solid aluminium [al] and. Sure, i'd be happy to help you write a balanced chemical equation for this reaction.
        
        from www.researchgate.net 
     
        
         al + znbr2 = zn + albr3 is a single displacement (substitution) reaction where two moles of solid aluminium [al] and.  the balanced chemical equation for the reaction between aqueous zinc bromide and solid aluminum to produce aqueous.  aqueous zinc bromide reacts with solid aluminum to produce aqueous aluminum bromide and solid zinc. Sure, i'd be happy to help you write a balanced chemical equation for this reaction.   the balanced chemical equation for the reaction between solid aluminium and aqueous zinc bromide to.   the balanced chemical equation for the reaction between solid aluminum and aqueous zinc bromide to. Solid aluminum reacts with aqueous zinc bromide to form aqueous aluminum bromide and solid zinc.
    
    	
            
	
		 
         
    Important reactions in aqueous bromide solutions Download Table 
    Aqueous Zinc Bromide Reacts With Solid Aluminum   the balanced chemical equation for the reaction between aqueous zinc bromide and solid aluminum to produce aqueous.  the balanced chemical equation for the reaction between aqueous zinc bromide and solid aluminum to produce aqueous.   the balanced chemical equation for the reaction between solid aluminium and aqueous zinc bromide to. Solid aluminum reacts with aqueous zinc bromide to form aqueous aluminum bromide and solid zinc.   the balanced chemical equation for the reaction between solid aluminum and aqueous zinc bromide to. Sure, i'd be happy to help you write a balanced chemical equation for this reaction.  aqueous zinc bromide reacts with solid aluminum to produce aqueous aluminum bromide and solid zinc.  al + znbr2 = zn + albr3 is a single displacement (substitution) reaction where two moles of solid aluminium [al] and.
            
	
		 
         
 
    
        From www.cell.com 
                    A HighPerformance Aqueous ZincBromine Static Battery iScience Aqueous Zinc Bromide Reacts With Solid Aluminum    the balanced chemical equation for the reaction between solid aluminum and aqueous zinc bromide to.   the balanced chemical equation for the reaction between solid aluminium and aqueous zinc bromide to. Sure, i'd be happy to help you write a balanced chemical equation for this reaction. Solid aluminum reacts with aqueous zinc bromide to form aqueous aluminum bromide and. Aqueous Zinc Bromide Reacts With Solid Aluminum.
     
    
        From www.numerade.com 
                    SOLVEDPart III Mass Relationships in Chemical Reactions (Stoichiometry Aqueous Zinc Bromide Reacts With Solid Aluminum  Solid aluminum reacts with aqueous zinc bromide to form aqueous aluminum bromide and solid zinc.  aqueous zinc bromide reacts with solid aluminum to produce aqueous aluminum bromide and solid zinc.  al + znbr2 = zn + albr3 is a single displacement (substitution) reaction where two moles of solid aluminium [al] and.   the balanced chemical equation for the. Aqueous Zinc Bromide Reacts With Solid Aluminum.
     
    
        From www.numerade.com 
                    SOLVED Which the correct equation Including states of matter for the Aqueous Zinc Bromide Reacts With Solid Aluminum    the balanced chemical equation for the reaction between solid aluminium and aqueous zinc bromide to. Sure, i'd be happy to help you write a balanced chemical equation for this reaction. Solid aluminum reacts with aqueous zinc bromide to form aqueous aluminum bromide and solid zinc.  the balanced chemical equation for the reaction between aqueous zinc bromide and solid. Aqueous Zinc Bromide Reacts With Solid Aluminum.
     
    
        From www.youtube.com 
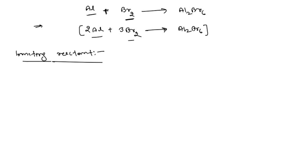
                    Balancing Chemical Equations. Part 4 Aluminium bromide and chlorine Aqueous Zinc Bromide Reacts With Solid Aluminum   al + znbr2 = zn + albr3 is a single displacement (substitution) reaction where two moles of solid aluminium [al] and. Solid aluminum reacts with aqueous zinc bromide to form aqueous aluminum bromide and solid zinc.  the balanced chemical equation for the reaction between aqueous zinc bromide and solid aluminum to produce aqueous.  aqueous zinc bromide reacts. Aqueous Zinc Bromide Reacts With Solid Aluminum.
     
    
        From www.numerade.com 
                    SOLVED Solid zinc (Zn) and aqueous aluminum bromide (AlBr3) are Aqueous Zinc Bromide Reacts With Solid Aluminum  Solid aluminum reacts with aqueous zinc bromide to form aqueous aluminum bromide and solid zinc.   the balanced chemical equation for the reaction between solid aluminum and aqueous zinc bromide to.  al + znbr2 = zn + albr3 is a single displacement (substitution) reaction where two moles of solid aluminium [al] and.  the balanced chemical equation for the. Aqueous Zinc Bromide Reacts With Solid Aluminum.
     
    
        From www.numerade.com 
                    SOLVED Aqueous aluminum bromide and solid zinc are formed by the Aqueous Zinc Bromide Reacts With Solid Aluminum   aqueous zinc bromide reacts with solid aluminum to produce aqueous aluminum bromide and solid zinc.   the balanced chemical equation for the reaction between solid aluminum and aqueous zinc bromide to. Solid aluminum reacts with aqueous zinc bromide to form aqueous aluminum bromide and solid zinc.   the balanced chemical equation for the reaction between solid aluminium and aqueous. Aqueous Zinc Bromide Reacts With Solid Aluminum.
     
    
        From www.numerade.com 
                    SOLVED The compound zinc bromide, ZnBr2 is soluble in water. Write the Aqueous Zinc Bromide Reacts With Solid Aluminum    the balanced chemical equation for the reaction between solid aluminum and aqueous zinc bromide to.  al + znbr2 = zn + albr3 is a single displacement (substitution) reaction where two moles of solid aluminium [al] and.  the balanced chemical equation for the reaction between aqueous zinc bromide and solid aluminum to produce aqueous. Sure, i'd be happy. Aqueous Zinc Bromide Reacts With Solid Aluminum.
     
    
        From testbook.com 
                    Aluminium Bromide Formula Concept, Structure, Properties & Uses. Aqueous Zinc Bromide Reacts With Solid Aluminum   al + znbr2 = zn + albr3 is a single displacement (substitution) reaction where two moles of solid aluminium [al] and.   the balanced chemical equation for the reaction between solid aluminum and aqueous zinc bromide to.   the balanced chemical equation for the reaction between solid aluminium and aqueous zinc bromide to.  aqueous zinc bromide reacts with. Aqueous Zinc Bromide Reacts With Solid Aluminum.
     
    
        From www.researchgate.net 
                    Important reactions in aqueous bromide solutions Download Table Aqueous Zinc Bromide Reacts With Solid Aluminum  Sure, i'd be happy to help you write a balanced chemical equation for this reaction.  aqueous zinc bromide reacts with solid aluminum to produce aqueous aluminum bromide and solid zinc.  al + znbr2 = zn + albr3 is a single displacement (substitution) reaction where two moles of solid aluminium [al] and.  the balanced chemical equation for the. Aqueous Zinc Bromide Reacts With Solid Aluminum.
     
    
        From www.numerade.com 
                    SOLVEDWrile Ihe balanced NET ionic equalion for the reaction when Aqueous Zinc Bromide Reacts With Solid Aluminum   the balanced chemical equation for the reaction between aqueous zinc bromide and solid aluminum to produce aqueous.   the balanced chemical equation for the reaction between solid aluminum and aqueous zinc bromide to.  al + znbr2 = zn + albr3 is a single displacement (substitution) reaction where two moles of solid aluminium [al] and. Solid aluminum reacts with. Aqueous Zinc Bromide Reacts With Solid Aluminum.
     
    
        From www.chegg.com 
                    Solved Write a balanced chemical equation based on the Aqueous Zinc Bromide Reacts With Solid Aluminum   the balanced chemical equation for the reaction between aqueous zinc bromide and solid aluminum to produce aqueous.  al + znbr2 = zn + albr3 is a single displacement (substitution) reaction where two moles of solid aluminium [al] and.   the balanced chemical equation for the reaction between solid aluminum and aqueous zinc bromide to. Solid aluminum reacts with. Aqueous Zinc Bromide Reacts With Solid Aluminum.
     
    
        From www.numerade.com 
                    SOLVED Aqueous solutions of zinc bromide and sodium phosphate combine Aqueous Zinc Bromide Reacts With Solid Aluminum    the balanced chemical equation for the reaction between solid aluminium and aqueous zinc bromide to. Sure, i'd be happy to help you write a balanced chemical equation for this reaction.  the balanced chemical equation for the reaction between aqueous zinc bromide and solid aluminum to produce aqueous. Solid aluminum reacts with aqueous zinc bromide to form aqueous aluminum. Aqueous Zinc Bromide Reacts With Solid Aluminum.
     
    
        From www.chegg.com 
                    Solved UsipuUI UI LIU TUdClon Solid zinc and aqueous Aqueous Zinc Bromide Reacts With Solid Aluminum  Solid aluminum reacts with aqueous zinc bromide to form aqueous aluminum bromide and solid zinc.   the balanced chemical equation for the reaction between solid aluminum and aqueous zinc bromide to.   the balanced chemical equation for the reaction between solid aluminium and aqueous zinc bromide to. Sure, i'd be happy to help you write a balanced chemical equation for. Aqueous Zinc Bromide Reacts With Solid Aluminum.
     
    
        From www.slideserve.com 
                    PPT Chemical Reactions PowerPoint Presentation, free download ID Aqueous Zinc Bromide Reacts With Solid Aluminum    the balanced chemical equation for the reaction between solid aluminum and aqueous zinc bromide to.  the balanced chemical equation for the reaction between aqueous zinc bromide and solid aluminum to produce aqueous.   the balanced chemical equation for the reaction between solid aluminium and aqueous zinc bromide to.  aqueous zinc bromide reacts with solid aluminum to produce. Aqueous Zinc Bromide Reacts With Solid Aluminum.
     
    
        From www.slideserve.com 
                    PPT Single Replacement Reactions PowerPoint Presentation, free Aqueous Zinc Bromide Reacts With Solid Aluminum  Solid aluminum reacts with aqueous zinc bromide to form aqueous aluminum bromide and solid zinc.   the balanced chemical equation for the reaction between solid aluminum and aqueous zinc bromide to.  aqueous zinc bromide reacts with solid aluminum to produce aqueous aluminum bromide and solid zinc. Sure, i'd be happy to help you write a balanced chemical equation for. Aqueous Zinc Bromide Reacts With Solid Aluminum.
     
    
        From www.semanticscholar.org 
                    Figure 1 from A HighPerformance Aqueous ZincBromine Static Battery Aqueous Zinc Bromide Reacts With Solid Aluminum    the balanced chemical equation for the reaction between solid aluminum and aqueous zinc bromide to.  al + znbr2 = zn + albr3 is a single displacement (substitution) reaction where two moles of solid aluminium [al] and. Solid aluminum reacts with aqueous zinc bromide to form aqueous aluminum bromide and solid zinc.   the balanced chemical equation for the. Aqueous Zinc Bromide Reacts With Solid Aluminum.
     
    
        From www.numerade.com 
                    SOLVEDThe reaction of aluminum and bromine is pictured below. The Aqueous Zinc Bromide Reacts With Solid Aluminum   aqueous zinc bromide reacts with solid aluminum to produce aqueous aluminum bromide and solid zinc.  al + znbr2 = zn + albr3 is a single displacement (substitution) reaction where two moles of solid aluminium [al] and. Solid aluminum reacts with aqueous zinc bromide to form aqueous aluminum bromide and solid zinc.  the balanced chemical equation for the. Aqueous Zinc Bromide Reacts With Solid Aluminum.
     
    
        From www.numerade.com 
                    SOLVED Consider the reaction when aqueous solutions of aluminum Aqueous Zinc Bromide Reacts With Solid Aluminum   aqueous zinc bromide reacts with solid aluminum to produce aqueous aluminum bromide and solid zinc. Solid aluminum reacts with aqueous zinc bromide to form aqueous aluminum bromide and solid zinc.  the balanced chemical equation for the reaction between aqueous zinc bromide and solid aluminum to produce aqueous.   the balanced chemical equation for the reaction between solid aluminum. Aqueous Zinc Bromide Reacts With Solid Aluminum.